Label-free Imaging

Label-free Imaging

Nonlinear Interferometric Vibrational Imaging (NIVI)

NIVI is a CARS-based imaging technique that combines the broadband, high spectral resolution of spontaneous Raman spectroscopy with the fast acquisition rates of CARS microscopy. It uses broadband excitation fields and takes advantage of the coherent properties of CARS to perform heterodyne detection, which fully suppresses the background, allowing the acquisition of broadband, high resolution vibrational spectra.

The original concept of NIVI included the use of two broadband pulses chirped at different rates, the superposition of which would result in a field whose beating frequency is itself chirped. This way, the vibrational levels would be populated sequentially. This method favors an adiabatic transition of the bonds from the ground to the excited states.

The current NIVI system uses a different pulse design. Here, a transform limited broadband Stokes, and a chirped broadband pump are used. This approach is simpler because it does not require shaping the incident optical fields. Furthermore, the current scheme effectively avoids the generation of background.

Marks DL, Boppart SA. Nonlinear interferometric vibrational imaging. Phys. Rev. Lett., 92:123905, 2004. PubMed
Abstract
PDF
Marks DL, Vinegoni C, Bredfeldt JS, Boppart SA. Interferometric differentiation between resonant coherent anti-Stokes Raman scattering and nonresonant four-wave-mixing processes. Applied Phys. Lett., 85:5787-5789, 2004. n/a PDF
Jones GW, Marks DL, Vinegoni C, Boppart SA.  High-spectral-resolution coherent anti-Stokes Raman scattering with interferometrically-detected broadband chirped pulses.  Opt. Lett., 31(10):1543-1545, 2006. PubMed Abstract PDF

 

Principles of Operation

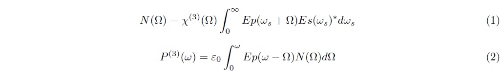
An important characteristic of
nivieq1
for CARS is its exclusive dependence on the difference
nivieq2
. This allows separating this four-wave-mixing process in two steps:
nivi12
where Ep is the pump field, Es is the Stokes field,
omega
are the optical frequencies and
nivieq4
is the third order susceptibility written as a function of the vibrational frequencies
. In the first step, corresponding to Equation (1), the molecules in the ground vibrational state interact with two photons-the pump and the Stokes-causing a transition to an excited state. The totality of these excited states is represented by
, a function that can be understood as a truncated and weighted version of
nivieq4
that is activated by the cross correlation of the pump and Stokes fields. In the second step, corresponding to Equation (2), the field interacts with 
 to induce the nonlinear polarization
nivieq7
that radiates the anti-Stokes field. A schematic of these steps is shown in the figure.
nivi1

Schematic (not to scale) of the pulses incident to the sample in NIVI. TL=transform limited (constant spectral phase).

Microscopy Setup

The schematic of the microscopy setup used in our experiment is shown in the figure below. Pulses out of the compressor at 250 kHz repetition rate with 808 nm center wavelength and 25 nm bandwidth (FWHM) are used as the pump pulses for the CARS process, as well as a seed for the second-harmonic-generation optical parametric amplifier (OPA). The division of the pulses is done with a 90/10 beam splitter (10% of power for the CARS pump and 90% for the OPA). The OPA, generates an idler to be used as the Stokes pulses and a signal to be used as the reference for the heterodyne detection of the molecular anti-Stokes field. When transform limited, the duration of the pulses out of the compressor is ~100 fs. These pulses are chirped by passing them through 85 cm of BK7 glass, after which the duration of the pulses is ~6 ps. The pump and the Stokes beams are combined and focused onto the sample, which is placed on a translation stage for raster scanning. A delay is included in the pump path to temporally overlap the beginning of the pump and Stokes pulses at the sample. The resulting anti-Stokes signal is collected in the forward direction and is separated from the incident beams with a high pass filter. The anti-Stokes pulses are combined with the reference pulses from the OPA, diffracted by a grating focused to a line scan camera that acts as a spectrometer. A second delay is included in the reference path to assure that the interference fringes in the line camera are within the resolution limits of the camera.

nivi2

Schematic of the experimental setup. Verdi-6, seed laser for Mira (6 W of power); Verdi-10, seed laser for Reg A (10 W of power); Reg A, Regenerative amplifier; OPA, optical parametric amplifier; BS, beam splitter; DM, dichroic mirror; HPF, high-pass filter; SF, spatial filter with telescope.

Experimental Demonstration

The pattern for the expected anti-Stokes pulses (schematic seen above) was observed in various organic samples. In the figure, an example is show for acetone, where its is clear to see that the resonant tail in the time resolved signal vanishes out of resonance.

acetone_time

Interferogram of four-wave-mixing in acetone at various vibrational excitation frequencies.

Applications

Chemical imaging of material samples and mammary tissue

NIVI has been proven successful in imaging and spectroscopically differentiating highly scattering material samples (top figure) and mammary tissue (bottom figure). Notice that spectral information is obtained at each pixel that closely resembles that of the gold standard Raman spectra.

material_sample

Reconstruction of the spectra of silicone in the material sample. (a) Interference pattern at spectrometer. (b) Time evolution of the anti-Stokes signal (for both silicone and sodium silicate). (c) Phase and (d) magnitude of the complex vibrational spectrum (3) . (e) Obtained Im(3) and spontaneous Raman spectra. Dotted lines indicate the Stokes and reference spectral profiles. Images of sample (f) out of resonance at 2850 cm-1 and at resonances (g) 2906 cm-1 and (h) 2965 cm-1.

mammary_tissue

Vibrational image of mammary tissue. (a) Temporal evolution of the anti-Stokes beam. (b) Phase and (c) magnitude of the retrieved susceptibility. (d) Imaginary component of the susceptibility in comparison with spontaneous Raman spectrum. (e) NIVI hyperspectral cube image at 2855 cm-1 showing adipocytes, parenchyma, and connective tissue. (f) Stained histological (hematoxylin & eosin) image of sample in similar region. (g) Profile of NIVI image intensity along white line in (e). Dotted red lines delineate connective tissue, extracellular matrix, and parenchyma from adipocytes. Arrows indicate extracellular space between cells.

Benalcazar WA, Chowdary PD, Jiang Z, Marks DL, Chaney EJ, Gruebele M, Boppart SA. High-speed nonlinear interferometric vibrational imaging of biological tissue with comparison to Raman microscopy. IEEE J. Sel. Topics Quantum Elect., 16:824-832, 2010. n/a n/a

 

Fast spectroscopy for the differentiation of saturation levels in lipids

The high spectral resolution also allows for fast spectroscopic analysis of the levels of saturation in closely related oils. The fidelity in the degree of saturation was about the same that spontaneous Raman spectroscopy would obtain. This chemical differentiation can easily extended to the differentiation in other chemical domains in tissues, such as in the case of lipids and collagen in skin, as shown in the figure.

skin

NIVI chemical imaging of an unstained skin section (interface between pig dermis and subcutaneous adipose tissue). Left: Total resonant power. Middle: Spatial map of lipid content (from black to green as fraction of maximum). Right: Spatial map of protein content (from black to blue as fraction of maximum). The section was 50 µm thick. The insets shows average NIVI spectra corresponding to the green and blue color-coded regions, with vertical red lines indicating 2855 and 2935 cm-1 (CH2 and CH3 stretches).

Chowdary PD, Benalcazar WA, Jiang Z, Marks DL, Boppart SA, Gruebele M. High speed nonlinear interferometric vibrational analysis of lipids by spectral decomposition.  Analytical Chemistry, 82:3812-3818, 2010. n/a n/a

 

Molecular histopathology with NIVI

Recently, we have concentrated efforts into chemically differentiating normal and tumor mammary tissue, as shown in the figure. Besides the intensity images showed to the left, each pixel contains a vibrational spectrum, the average of which are showed to the right for each of the four images. Notice that, besides observing disruption of the regular adiposite structures in tumors when compared to normal tissue, their chemical spectra also shows differences. In particular, the vibrational profiles for tumor are proper of collagen, while the spectral profile for normal tissue corresponds to lipids.

nivi7

Spatial mapping of CH groups (present in different proportions in lipid and protein domains) in mammary tissue. (A) Endogenous-contrast NIVI images (color scale: blue to red, as percentage of CH vibrations) of one normal and three developed mammary tumors of various sizes. (B) Vibrational spectra for images in (A). Images and spectra reveal disruptions of lipid and collagen domains in adipose and tumor tissues, with a predominance of collagen-based structures in tumors.